RGB颜色空间是怎么计算颜色色差值的?
2025-11-13
RGB颜色空间是色度学规定的用于颜色度量的比较常见的测色空间之一,该颜色空间采用物理三原色对颜色进行表示,RGB颜色空间还是许多颜色空间进行转化的桥梁。那么,RGB颜色空间是怎么计算颜色色差值的?本文对RGB颜色空间色差值计算公式及其与LAB空间转换做了介绍。

RGB颜色空间是怎么计算颜色色差值的?
RGB颜色模型以R(红)、G(绿)、B(蓝)三个色光为三基色,自然界的颜色可以通过其不同程度的叠加而产生。RGB颜色模型中各参数的取值范围为0~255,共 256个等级,所以三原色分量全部组合起来可表示1600多万种不同的颜色,它比人眼能分辨的颜色种类还要多得多。由于RGB颜色空间的颜色信息包含于R、G、B这三个分量,因此表示待测目标的颜色与标准颜色的差异就需要结合三个分量进行距离计算。基于RGB颜色空间的标准色差定义为:

由于不同的颜色对人主观感受的影响有别,在实际的应用中一般采纳经验色差公式,即:

RGB颜色空间怎么转换到LAB颜色空间?
RGB色彩空间的颜色不能直接转换到LAB色彩空间,需要借助XYZ色彩空间进行非线性操作,先把RGB色彩空间转换到XYZ色彩空间,然后通过XYZ色彩空间和LAB色彩空间之间的联系进行转换。相关转换公式如下所示:
1.RGB颜色空间转换到XYZ颜色空间

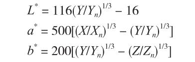
2.XYZ颜色空间转换到LAB颜色空间

上式中,X、Y、Z 指的是物体的三刺激值,这三个属性值是在海明对立坐标理论的基础上建立起来的。Xn、Yn、Zn表示的是CIE标准照明体先照射在完全反射漫反射体上,再经其反射到人们眼中的白颜色物体的三刺激值。光源和观察者的条件分别以D65和10°条件为佳。在不同的光源以及观察者条件下,三刺激值是不同的。



扫一扫添加微信