色差仪常用颜色空间解析CIEXYZ和CIELab颜色空间
2025-11-11
CIEXYZ颜色空间和CIELab颜色空间是色差常用颜色空间,CIELab颜色空间是在CIEXYZ颜色空间基础上发展起来的均匀颜色空间,且二者之间存在一定的转换关系。本文对色差仪常用颜色空间CIEXYZ和CIELab颜色空间做了简要的解析,对此感兴趣的朋友不妨了解一下!

色差仪常用颜色空间解析CIEXYZ:
CIE1931RGB颜色系统匹配某些可见光谱时,颜色值为负值,使用不方便。1931年国际照明委员会(CIE)采取了一种新的颜色系统CIEXYZ,该标准颜色空间是与设备无关的标准色度空间,经常被用来作为色彩描述的基础色彩空间[34]。这种颜色空间叫做“CIE1931标准色度系统”或称为“2°视场XYZ色度系统”。
现在的设备测量的颜色信息一般是Yxy参数,CIEXYZ颜色空间稍加变换就可得到xyY色彩空间,其中x、y反映颜色的色度特性,Y取三刺激值中Y的值表示亮度。定义为下:x=X/X+Y+Z,y=Y/X+Y+Z。
在色彩管理中,与设备无关的颜色空间由国际照明委员会(CIE)制定CIEXYZ和CIELAB两个标准。它们包含了人眼所能辨别的全部颜色。在CIEXYZ颜色空间中,两种颜色之间的色差并不能正确反映人们颜色感觉差别。这一缺陷的存在,使得在Yxy及XYZ空间不能直观地评价颜色。
色差仪常用颜色空间解析CIELab:
CIEL*a*b*(CIELAB)是通常用来描述人眼可见的所有颜色的最完备的色彩模型。它是基于一种颜色不能同时既是绿又是红、既是蓝又是黄这种理论而建立起来的。三个基本坐标表示颜色亮度L*(L*=0表示黑色,而L*=100表白色),a*表示红色和绿色之间的位置(a*正值表示红色,负值表示绿色),b*表示黄色和蓝色之间的位置(b正值表示黄色,负值表示蓝色)。
建立的CIELAB色彩模型是作为参考的设备无关的模型。CIELAB这一均匀颜色空间的优点是:CIELAB是与设备无关的色彩空间,可以推算出原始颜色、屏幕颜色和印刷颜色在颜色空间的对应关系,实现不同设备之间的色彩变换,能直接反映物体色的心理感受效果。
色差仪常用颜色空间CIELab色差公式:
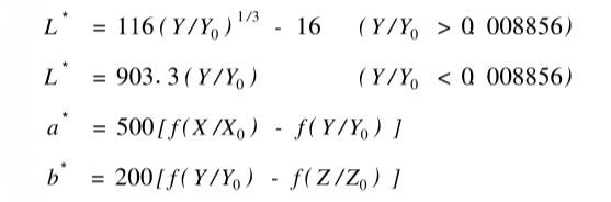
CIELab色差公式是ANLAB色差公式的简化模型。1976年被推荐替代ANLAB以提高在工业应用上的均匀性和简单性。L*a*b*公式以两种坐标形式(直角坐标和柱坐标)给出。
1.直角坐标

这里,X、Y和Z是色样的三刺激值,而X0、Y0和Z0是照明光源的三刺激值。
总的色差的计算公式为:

2.柱坐标

其中C*定义为米制彩度,h定义为米制色调角(0度~360度)。
柱坐标形式的色差为:




扫一扫添加微信