纺织色差仪常用色差公式有哪几种类型?
2025-08-14
纺织品的色差指的是两个染色织物样本在彩度、明度和色调三个色彩值的综合表现颜色感知差异,色差严重影响染色成品的质量。为了定量的对纺织品的色差进行描述,就可以使用纺织色差仪测量并经过纺织色差公式计算得到。那么,纺织色差仪常用色差公式有哪几种类型?本文对纺织色差仪常用色差公式类型做了介绍。

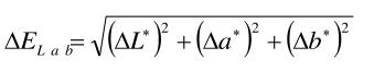
纺织色差仪CIELAB色差公式:
CIELAB色差公式在纺织印染行业的产品质量控制中被广泛使用。该色差公式建立在CIE 1976-L*a*b*颜色空间上,CIELAB色差公式如下:

公式中,△L*、△a*、△b*分别表示被测样本1与标准样本2之间的明度差和色品差,则△L*=L1*-L2*,△a*=a1*-a2*,△b*=b1*-b2*。
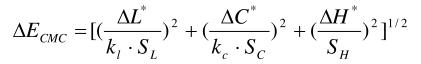
纺织色差仪CMC(l:c)色差公式:
CMC(l:c)色差公式比CIELAB公式具有更好的视觉一致性,因而被英国染色家协会的颜色测量委员会所推荐,成为纺织工业的国际标准(ISO105-J03),被工业界广泛使用。其计算公式如下:

公式中的SL、SC、SH分别代表了亮度差△L*、饱和度差△C*和色相差△H*的加权系数;kl和kc分别是用来调整明度和彩度对总色差的影响程度的明度权重因子和彩度权重因子。通过大量实验表明,当评价色差是否可接受时,如纺织印染行业对产品质量的控制,推荐采用kl=2,kc=1,而对色差可察觉性评价时推荐采用kl=1,kc=1。
纺织色差的评判标准:
在印染行业,不可能生产处与标准样完全一样的染色品,也就是说色差是必然存在的,为了解决色差带来厂家和客户之间的评定差异,需要表示和度量色差,商定色差的允许范围。
色差的单位是NBS(美国国家标准局的缩写),当△E=1时,我们称之为1个NBS单位。NBS单位的大小与人的感知程度如下表所示:




扫一扫添加微信