CIE标准色度系统的类型及不同色度系统的转换关系
2025-08-12
颜色测量仪器都是以CIE标准色度系统为基础而设计的,CIE标准色度系统是CIE规定的一套颜色测量原理、数据和计算方法,这些系统是色度学的基础,是基于任何一种颜色都能被三原色按比例混合而成的假设所形成的。本文对CIE标准色度系统的类型及不同色度系统的转换关系做了介绍。

CIE标准色度系统的类型:
1.CIE1931RGB
CIE1931RGB系统是根据莱特和吉尔德两人所做实验基础之上建立起来的,以700nm(R)、546nm(G)、435.8nm(B)作为三原色,并以相等数量的三原色刺激值匹配出等能白光来确定三刺激值单位。其中三原色亮度的比率分别为1.000:4.5907:0.0601。
2.CIE1931XYZ
在CIE1931RGB画出色品坐标图时,发现出现了一部分负值的情况,这导致了色品图不易理解,也不方便计算。为了解决这个问题,CIE规定X和乙只表示色度,而亮度只与Y成比例。经过这样设定之后,在XYZ系统中光谱三刺激值全为正数。根据式x=X/(X+Y+Z)、y=Y/(X+Y+Z)、z=Z/(X+Y+Z)中刺激值和色品坐标之间的关系,可以得到CIE1931xy色品图的光谱轨迹图。
3.CIE1960UCS
1960年CIE又提出CIE1960UCS均匀色品图,通过将CIE1931xy色度图作了线形变换,从而使颜色空间的均匀性得到了改善,但亮度因数没有均匀化。在三维空间颜色中任意一点都代表着一种颜色,不同的两个点之间的距离代表着两种不同颜色的色差。经过式2-5转换过的CIE1960UCS 在不考虑亮度的情况下或者亮度相同的情况下,在颜色空间内任意两点相同距离具有相同的色差。
4.CIE1976LAB
为了改进和统一颜色评价的方法,1976年CIE又提出了一套新的颜色空间系统,即CIE1976LAB。作为国际通用的测色标准,在我国主要用于印刷行业。从刺激值与L*、a*、b*转换公式中包含立方根可以发现(下文将介绍),在CIE1931上保留的马蹄形将不复存在。经过转换之后,将采用笛卡尔空间坐标系,在这一坐标系中,分别标有+a*、-a*、+b*和-b*,分别表示为红色、绿色、黄色和蓝色。而颜色的明度则由L*的百分数来表示。
CIE不同色度系统的转换关系:
1.在CIE1931RGB系统中其三刺激值与色品坐标值转换公式如下:

2.在色度计算中,一般使用CIE标准色度系统,下面给出CIE1931RGB与CIE标准色度系统中三刺激值的转换公式:

3.在CIE标准色度系统中,其三刺激值与色品坐标的转换公式如下:

这里,X、Z两个原色仅代表了色度,并没有代表亮度,其光度量只与三刺激值Y成比例。
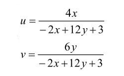
4.CIE1960UCS常用来计算相关色温的色品图,下面我们给出CIE1960UCS与CIE1931xy之间的关系:

也可以用用三刺激值表示u、v的关系式如下:

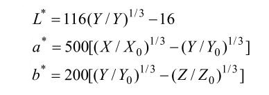
5.CIE1976LAB由CIE1931XYZ系统之间转换关系:

其中X、Y、Z为三刺激值;X0、Y0、Z0为CIE标准照明体的三刺激值;L*表示心理明度;a*和b*为心理色度。



扫一扫添加微信