纺织色差公式及CIE94(ΔE*94)色差公式条件
2025-12-25
用于纺织色差计算的色差公式有多种类型,其中比较常用的是CMC(l:c)和CIE94色差公式,纺织行业对这两个色差公式的使用,都做了相应的限定条件。本文对纺织色差公式及CIE94(ΔE*94)色差公式条件做了简要的介绍。

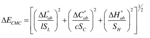
纺织色差公式CMC(l:c)色差公式:
CMC(l:c)色差公式是在JPC79的基础上修改提出来的,主要是由于 CMC(l:c)色差公式的目视一致性较好,并且方便用户对于颜色的评价,现在仍是纺织行业的ISO标准。色差公式表达式如下所示:

式中:L*、C*、h、a*、b*—标样的色度参数;l—明度的加权值;c—彩度的加权值
在国际上纺织业界都采用l:c=2:1;△L*、△C*和△H*是CIELAB空间中明度、饱和度和色调的差。其中,当L*<16时,SL=0.511;当164°<h<345°时,T=0.56+[0.2cos(h+168)]。
纺织色差公式CIE94色差公式:
ΔE*94色差公式是CIE于1955年推荐的一个色差公式,其全称为“CIE1994(△L*△C*ab△H*ab)色差模型”,正式缩写形式是CIE94,色差符号为△E*94。△E*94色差公式是CMC(1:c)色差公式的一种改良形式,其结构与ΔE*CMC(l:c)色差公式相似的公式,该公式的计算式如下所示:

式中:SL=1,Sc=1+0.045C*,SH=1+0.015C*;C*—标样的彩度值;△L*—明度的差;△C*—饱和度的差;△H*—色调的差;kL—明度的权重;kC—饱和度的权重;kH——色调的权重。
对于纺织工业,通常取kL=2,kC=kH=1。
纺织色差公式CIE94色差公式设定条件:
1.参照条件
照明体:模拟D65相对光谱功率分布。照度:1000lx。背景:L*=50的均匀中性灰色。对象:物体色。样品尺寸:对应视角大于4°。样品放置:两样品直边接触,间隔最小。样品色差量:0~0.5CIELAB单位.样品结构:视觉上不显示花样,也看不出不均匀的单一颜色。
2.参量因子
在基本条件下,KL=KC=KH=1。在纺织工业中,KL=2;KC=KH=1。加权函数的评价工作以两组视色差实验数据为基础,一组是用纺织样品知觉色差的实验结果编排分级形成的Bradford数据组,另一组是用颜料样品对一系列色点和色差方向的知觉色差的广泛抽象形成的RIT-DuPont数据组。



扫一扫添加微信