颜色测量原理及颜色测量常用测色仪器的类型
2025-08-05
对颜色进行量化分析,是有色行业颜色质量管控的重要手段。而实现颜色量化分析的重要载体,就是颜色测量仪器。通过颜色测量仪器,可以将颜色量化为具体的颜色信息,为产品的质量管控提供数字化的依据。本文对颜色测量原理及颜色测量常用测色仪器的类型做了介绍。

颜色测量原理:
颜色是光的属性,是外界光投射到物体上,经过颜色物质对光有选择的吸收后,其反射或透射光对人眼的辐射作用结果。人眼只能看到380~780nm的光,即可见光。人眼对不同波长光的感受性是不一样的。虽然不同的人对同一外界光刺激的主观感受不尽相同,但人的生理视觉对可见光的感受却呈现着共同的规律。人们根据这共性规律,制定了一个“标准人眼”它是我们在颜色测量和评价中所遵循的生理学依据。
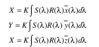
CIE标准色度学系统以两组基本视觉实验数据为基础。一组数据叫做“CIE1931-XYZ系统”另一组叫做“CIE1964-X10Y10Z10系统”前者适于2°视场的测量,或者适于10°视场的测量。每组数据即相当于“标准人眼”是由三条曲线组成。根据这三条曲线,便可以通过各种手段,测得颜色的三刺激值XYZ或X10Y10Z10。反射物体的三刺激值的具体计算公式为:

式中S(λ)为标准照明体的相对功率分布;R(λ)为物体的光谱反射因数,包括光谱反射比和光谱辐亮度因数;x(λ)、y(λ)、z(λ)为XYZ色度学系统中的色度函数,K为归化系数。
XYZ(或X10Y10Z10)是表征颜色的最基本参数,它们是假定的理想三原色。测色仪器的目的就是要测出被测对象的XYZ(或X10Y10Z10)值,色度学中其它各种表色数据都是由这三个参数换算而来的。
颜色测量常用测色仪器的类型:
颜色测量仪器就是通过一定的途径求得三刺激值的工具。由于获得三刺激值的方式不同,测色仪器主要可分为两类:分光测色仪器和光电积分式仪器。
1.分光测色仪器
分光光度计是颜色测量中最基本的仪器,它并不直接测量颜色的三刺激值,而是测量样品的反射特性或透射特性,即采用比较法,通过定量地比较某些已知光谱特性的“标准”和样品在同一波长上反射或透射的单色辐射功率,从而测出样品的光谱反射比或透射比,经过计算求得样品颜色的三刺激值。测量反射样品时,用完全反射漫射体作为参照标准。完全反射漫射体的反射比在各波长上均为1。但是,没有一种实际材料有这样的特性,只能选择与它性质比较接近的材料作为工作标准,目前常采用烟薰、压粉或喷涂的氧化镁、硫酸钡,也有采用海龙(Halon)、白陶瓷板等作为参照物的。
分光测色仪器设计时必须按照规定的光源照明和探测器收集光能的几何条件(0/45、45/0、O/d、d/0)安排光路,可以选择其中一种或多种条件。仪器测试的数据也应说明是在何种条件下测量的结果。
2.光电积分式仪器
光电积分式仪器是模拟人眼的三刺激值特性,用光电积分效应,直接测得颜色的三刺激值。这类仪器使用颜色滤光片,对所用的光电探测器的光谱响应进行滤色修正,使它与CIE 标准观察者相一致。同时对照明光源也加以滤色修正,使之符合标准照明体的相对光谱功率分布。光电积分式仪器其总的光学条应符合卢瑟(Luther)条件。在实际的滤色修正中,不可能做到仪器完全符合卢瑟条件,只能近似符合。近似的程度决定了仪器的精度。光电积分式仪器在测量原理上存在误差,其精度自然比不上分光式仪器。光电积分式仪器对颜色的绝对测量精度不高,但对颜色的相对测量,尤其对色差测量还是比较常见的。所以在许多场合中,称之为测色色差计。



扫一扫添加微信