CIE表色系统之CIELab颜色空间的含义及色差值
2025-06-19
为了对颜色进行规范化描述和度量,CIE推荐了多个表色系统,其中比较常见,目前使用最为广泛的一个表色系统就是CIELab表色系统,即CIELab颜色空间。本文对CIE表色系统之CIELab颜色空间的含义及色差值做了介绍。

CIE表色系统类型:
要对颜色进行规范化描述和度量,就必须建立一个表示颜色的视觉三属性及色刺激各个量之间关系的色彩体系,及表色系统。表色系统构成各种颜色空间,即颜色模型。以心理学为基础、用标准颜色样品表示颜色分类和标定颜色的参考体系的代表主要是孟塞尔颜色系统。基于加法混色原理的混色系统的代表是CIE表色系统。在实际应用中孟塞尔颜色系统的模型没有具体的描述公式,其产量的获取不方便也不易于快速处理,所以目前使用较多的是CIE表色系统。
CIE表色系统的基础是R(红)、G(绿)、B(蓝)三原色,彩色由三原色按一定比率混合产生。原则上,各种色彩均可以由这三种原色按比率混合得到,但实际上在计算时,对有的颜色RGB 中出现负值,使得计算不方便。因此为更好地解释颜色合成,CIE 又制定了改善的CIE-XYZ表色系统。XYZ是一种虚拟的基色坐标系,其值与RGB三刺激值可通过公式转换。表示色品(色调和饱和度)在直角坐标系中几何关系的图叫色品图。在CIE-RGB和CIE-XYZ颜色系统的色品图中两个色品点的欧氏距离并不反映人眼的色差感觉,因此它们都不是均匀颜色空间。为统一评价颜色差别的方法,通过对CIE-XYZ空间进行非线性变换,CIE推出两个均匀颜色空间CIEL*a*b*和CIEL*U*V*及有关的色差公式。均匀颜色空间更能反映人的视觉心理,其色差公式反映了人眼的色差感觉,但计算复杂。目前,使用颜色量化中,使用比较广泛的颜色空间是CIEL*a*b*颜色空间。
CIE表色系统之CIELab颜色空间含义:
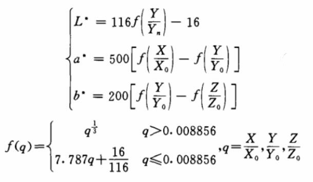
CIEL*a*b*是CIE1976L*a*b*颜色空间的简称,CIEL*a*b*是CIE1931XYZ颜色空间的一种非线性映射,而且该颜色空间为均匀颜色空间,即该空间两颜色的Euclidean距离和色差近似相等,其两颜色空间之间的转换关系为:

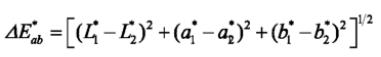
其中:L*∈[0、100]、a*∈[-100,100]、b*∈[-100,100];(X0、Y0、Z0)为参考白点,用以表征观测条件,其主要与照明相关。一般称L*为明度指数,称a*、b*为色品指数。在CIE1976L*a*b*颜色空间,(L1*,a1*,b1*)和(L2*,a2*,b2*)两颜色之间色差表示为:

可以用△E近似表征人眼视觉感知到的两颜色之间的差异程度。据研究,人类视觉通常无法察觉小于3个△E单位的颜色差异。
CIE表色系统之CIELab颜色空间色差值:
△L*明度差:△L*=L1*-L2*。△L*>0,表示样品色比标准色浅,明度高;若△L*<0,说明样品色比标准色深,明度低。
△a*、△b*色度差:△a*=a1*-a2*、△b*=b1*-b2*。△a*>0,表示祥品色比标准色偏红;若△a*<0,说明样品色比标准色偏绿。△b*>0,表示样品色比标准色偏黄;若△b*<0,说明样品色比标准色偏蓝。
△C*ab彩度差:△C*ab=C*ab,1-C*ab,2。△C*ab>0,表示样品色比标准色彩度高,含“白光”或“灰分”较少;若△C*ab<0,说明样品色比标准色彩度低,含“白光”或“灰分”较多。
△h*ab色相角差:△h*ab=h*ab,1-h*ab,2。△h*ab>0,表示样品色位于标准色的逆时针方向上;△h*ab<0,说明样品色位于标准色的顺时针方向上。根据标准色所处的位置,就可以判断样品色是偏绿还是偏黄。
△H*ab色相差:△H*ab=[(△E*ab)2-(△L*)2-(△C*ab)2]1/2。△H*ab表示样品色相角与标准色相角的差,△H*的计算结果由a*b*平面上的样品颜色点相对于标准颜色点的位置所决定,在顺时针向上△H*ab为正值,在逆时针方向上△H*ab为负值。
△E*ab总色差:△E*ab=[(△L*)2+(△a*)2+(△b*)2]1/2。一般可用△E*ab评价色差,△E*ab值越小表示色差越小;△E*ab值越大表示色差越大。



扫一扫添加微信