CIE标准色度系统及CIE标准色度系统颜色分析
2025-06-10
颜色测量都是以CIE标准色度系统为基础的,因此对CIE标准色度系统进行了解,有助于对颜色测量有更科学的了解。本文对CIE标准色度系统及CIE标准色度系统颜色分析做了介绍,对颜色测量知识感兴趣的朋友不妨了解一下!

CIE标准色度系统:
CIE标准色度学系统是以视觉生理为基础的较能精确标定颜色的、目前被国际上普遍采用的一种颜色标定方法。它是基于标准色度观察者光谱三刺激值建立起来的一种色度学系统。CIE规定了一套颜色的测量原理、数据和计算方法,能对颜色进行定量的分析描述。
CIE在1931年通过对17位观察者进行颜色匹配试验,将测试数据统计得到光谱三刺激值的平均数据X、Y、Z,光谱三刺激值曲线x(λ)、y(λ)、z(λ)如下图所示。x(λ)、y(λ)、z(λ)各曲线所包括的总面积分别表示X,Y、Z。

由色度坐标x、y的数值在直角坐标系中标出其位置,将各色度点连接起来,形成一条光谐轨迹线,即为CIE标准色度学系统的色度图,如下图所示。

在光谱轨迹线内包括一切物理上能实现的颜色,在轨迹线范围内不同位置分别代表不同特性的颜色。任何颜色在色度图上都占有一确定位置。
CIE标准色度系统颜色分析:
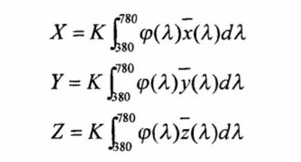
CIE规定:一个物体的颜色可以用它的三刺激值来表示,并且同时规定X和Z的亮度为0,XZ线称为无亮度线。无亮度线上的各点只代表色度,没有亮度,但Y既代表色度又代表亮度。三刺激值的标准方程式为:

其中:x(λ)、y(λ)、z(λ)是CIE标准色度观察者光谱三刺激值。
对于物体色,颜色刺激函数φ(λ)是光源的相对功率分布E(λ)与物体的光谱反射率R(λ)之乘积,即:φ(λ)=R(λ)布E(λ)。
式中的K为调整因子,它是将光源的亮度因数Y调整到100时得出的,其表达是为:

由此可知,欲标定样品的颜色只要将测定出的样品的光谱反射率R(λ),即可得出该颜色的三刺激值X、Y、Z的数值,然后就可以求出样品的色度坐标x、y、z。



扫一扫添加微信